循环引用导致内存泄漏¶
一、内存泄漏的示例¶
rust的内存安全机制可以保证很难发生内存泄漏,但不是不可能。如使用Rc<T>和RefCell<T>就可能造出循环使用,从而发生内存泄漏。因为每项的引用数量不会变成0,值也不会被处理掉。我们先看下面的示例代码
use std::{cell::RefCell, rc::Rc};
use crate::List::{Cons, Nil};
#[derive(Debug)]
enum List {
Cons(i32, RefCell<Rc<List>>),
Nil,
}
impl List {
fn tail(&self) -> Option<&RefCell<Rc<List>>> {
match self {
Cons(_, item) => Some(item),
Nil => None
}
}
}
fn main() {
let a = Rc::new(Cons(5, RefCell::new(Rc::new(Nil))));
// 打印a的强引用
println!("a initial rc count = {}", Rc::strong_count(&a));
// 打印a的第二个元素
println!("a text item = {:?}", a.tail());
// b的第一个元素是10,第二个元素共享a的数据
let b = Rc::new(Cons(10, RefCell::new(Rc::clone(&a))));
// 打印a的强引用
println!("a rc count after b creation = {}", Rc::strong_count(&a));
// 打印b的强引用
println!("b initial rc count = {}", Rc::strong_count(&b));
// 打印b的第二个元素
println!("b next item = {:?}", b.tail());
// 取出a的第二个元素
if let Some(link) = a.tail() {
// 把a原来存储的Nil改为B存储的值
*link.borrow_mut() = Rc::clone(&b);
}
println!("b rc count after changing a = {}", Rc::strong_count(&b));
println!("a rc count after changing a = {}", Rc::strong_count(&a));
}
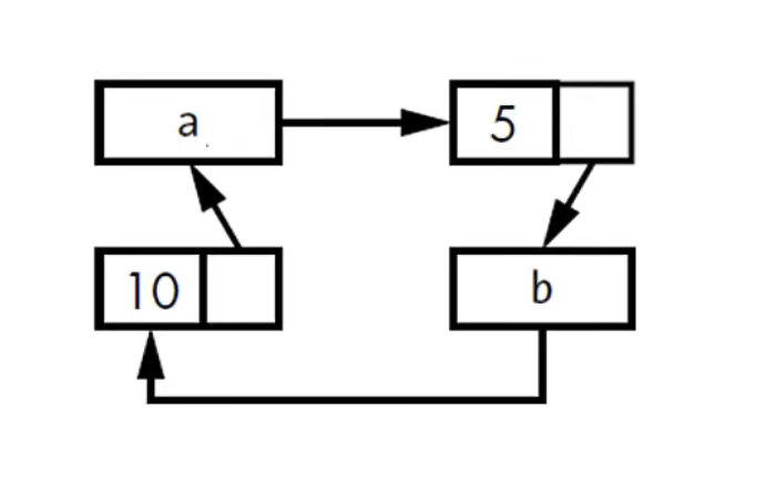
该开始创建a的时候,它的引用数量是1,它的第二个元素是2,b创建之后,a的强引用个数变成2,b的引用个数变成1,b的第二个元素是a。接下来让a的第二个元素指向b,所以这个时候b有两个引用,a也有两个引用,相当于此时创建了一个循环的数据结构,如下图
a的第一个元素是5,第二个元素是b,b的第一个元素是10,第二个元素是a。这时候形成了一个循环。假如此时代码执行完毕,将先释放b,因为b是在后面创建的。程序将会把b对应的数据的引用计数减少到1,因为此时a仍然存在一个指向b对应的数据的引用。那么b对应的List在堆内存上讲不会进行释放,如果我们在main函数的最后添加以下一行代码,将会导致堆栈溢出
a的第二个元素是b,而的第二个元素是a,以此循环,最终导致堆栈溢出。所以,在rust里,内存溢出并不容易,但绝非不可能。
二、防止内存泄漏的解决办法¶
2.1 依靠开发者来保证,不能依靠rust¶
如认证检查自己的代码逻辑,并做一些测试,防止内存泄漏
2.2 重组数据结构¶
简单来说把引用拆分来持有所有权和不持有所有权两种情况,如在循环引用中,让某些指向关系具有所有权,而另外一部分的指向关系不涉及所有权。这样只有持有所有权的关系才影响值的清理。
2.3 防止循环引用,把Rc换成Weak¶
Rc::clone为Rc<T>示例的strong_count加1,Rc<T>的实例只有在strong_count为0的时候才会被清理。
Rc<T>实例通过调用Rc::downgrade方法可以创建值的Weak Reference(弱引用),返回值类型是Weak<T>(只能指针)。每次调用Rc::downgrade方法会为weak_count(即弱引用计数)加1,而Rc<T>使用weak_count来追踪存在多少Weak<T>,weak_count不为0并不影响Rc<T>实例的清理。
2.4 Strong VS Weak¶
- Strong Reference(强引用)是关于如何分享
Rc<T>实例的所有权 - Weak Reference(弱引用)并不表述上述意思
使用Weak Reference并不会创建循环引用,因为当Strong Reference数量为0的时候,Weak Reference会自动断开。在使用Weak<T>前,需保证它指向的值仍然存在,在Weak<T>实例上调用upgrade方法,返回Option<Rc<T>>。
2.5 Weak Reference使用示例¶
我们先看以下的示例
use std::rc::Rc;
use std::cell::RefCell;
#[derive(Debug)]
// 定义树的节点
struct Node {
value: i32,
// 使用Rc<Node>为了让所有的子节点能够共享所有权
children: RefCell<Vec<Rc<Node>>>
}
fn main() {
// 创建一个树叶
let leaf = Rc::new(Node {
value: 3,
children: RefCell::new(vec![]),
});
// 创建一个树枝
let branch = Rc::new(Node {
value: 5,
children: RefCell::new(vec![Rc::clone(&leaf)]),
});
}
上面示例代码中,我们可以通过树枝找到叶子,但还不可以通过叶子找到树枝,因为树叶还不持有树枝的引用,它对它们两之间的父子关系一无所知。所以我门需要修改一下代码,但是双向的引用会是循环引用,这个时候我们就可以使用Weak<T>,让它避免产生循环引用。修改代码如下
use std::borrow::Borrow;
use std::rc::{Rc, Weak};
use std::cell::RefCell;
#[derive(Debug)]
// 定义树的节点
struct Node {
value: i32,
parent: RefCell<Weak<Node>>,
// 使用Rc<Node>为了让所有的子节点能够共享所有权
children: RefCell<Vec<Rc<Node>>>
}
fn main() {
// 创建一个叶子
let leaf = Rc::new(Node {
value: 3,
parent: RefCell::new(Weak::new()),
children: RefCell::new(vec![]),
});
// 通过树叶找到树枝,通过borrow()获得不可变引用,在通过upgrade()将Weak<T>转换为Rc<T>
println!("leaf parent = {:?}", leaf.parent.borrow().upgrade());
// 创建一个树枝
let branch = Rc::new(Node {
value: 5,
parent: RefCell::new(Weak::new()),
children: RefCell::new(vec![Rc::clone(&leaf)]),
});
// 让树叶的parent指向树枝
*leaf.parent.borrow_mut() = Rc::downgrade(&branch);
println!("leaf parent = {:?}", leaf.parent.borrow().upgrade());
}
为了观察数据强引用也弱引用的计数变化,我们修改代码如下
use std::borrow::Borrow;
use std::cell::RefCell;
use std::rc::{Rc, Weak};
#[derive(Debug)]
// 定义树的节点
struct Node {
value: i32,
parent: RefCell<Weak<Node>>,
// 使用Rc<Node>为了让所有的子节点能够共享所有权
children: RefCell<Vec<Rc<Node>>>,
}
fn main() {
// 创建一个叶子
let leaf = Rc::new(Node {
value: 3,
parent: RefCell::new(Weak::new()),
children: RefCell::new(vec![]),
});
// 打印leaf
println!(
"leaf strong = {}, weak = {}",
Rc::strong_count(&leaf),
Rc::weak_count(&leaf)
);
// 一个作用域
{
// 创建一个树枝
let branch = Rc::new(Node {
value: 5,
parent: RefCell::new(Weak::new()),
children: RefCell::new(vec![Rc::clone(&leaf)]),
});
// 让树叶的parent指向树枝
*leaf.parent.borrow_mut() = Rc::downgrade(&branch);
// 打印branch
println!(
"branch strong = {}, weak = {}",
Rc::strong_count(&branch),
Rc::weak_count(&branch)
);
// 打印leaf
println!(
"leaf strong = {}, weak = {}",
Rc::strong_count(&leaf),
Rc::weak_count(&leaf)
);
}
// 使用leaf访问branch
println!("leaf parent = {:?}", leaf.parent.borrow().upgrade());
// 打印leaf
println!(
"leaf strong = {}, weak = {}",
Rc::strong_count(&leaf),
Rc::weak_count(&leaf)
);
}
运行结果如下
leaf strong = 1, weak = 0
branch strong = 1, weak = 1
leaf strong = 2, weak = 0
leaf parent = None
leaf strong = 1, weak = 0
根据结果,我们得出一下结论:
-
创建
leaf之后,有1个强引用,0个弱引用。 -
然后进入一个作用域,在作用域里创建
branch,再把leaf的parent连接到branch。branch有1个强引用,并且多了1个弱引用,因为leaf对其做了关联。这时候leaf有2个强引用,因为在创建branch的时候,branch中的children对其有一个强引用。 -
最后走出作用域,通过
leaf访问它的parent,得到的结果是None。此时leaf剩下本省1个强引用,而弱引用也是0。
所以看一看到,branch离开作用域之后,它的强引用变成0,此时相当于被丢弃了。虽然在branch的生命周期内它拥有一个弱引用,但并不影响其数据的销毁。
